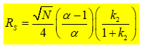
A importância da Fase Móvel (FM) no processo de separação pode ser comprovada através da análise da equação geral de resolução, Rs, na qual dois dos três parâmetros cromatográficos envolvidos (número de pratos ou eficiência, N, o fator de retenção, k, e o fator de seletividade (separação), α, são fortemente influenciados pela FM.

Dessa forma, a seleção de uma FM para uma dada separação é extremamente relevante.
A força cromatográfica mede a capacidade da FM em interagir com os componentes da amostra. Essa interação pode ser por meio de forças de Van der Walls (dispersivas ou de London e as dipolo-dipolo de Keesom e Debye), além de ligações de hidrogênio ou forças dielétricas.
Todos esses tipos de interação podem ser agrupados no parâmetro polaridade do solvente – denominada série eluotrópica. A série eluotrópica é organizada de acordo com a polaridade e permite escolher o melhor solvente que será mais competitivo em relação a característica da fase estacionária. Se a fase estacionária for apolar o solvente mais forte será o mais apolar, se a fase estacionária for polar o solvente mais forte será o mais polar. A mistura de 2 ou mais solventes irá permitir controlar a força resultante da fase móvel.

Quando pensamos no emprego de certo solvente em um tipo específico de cromatografia, isto é, de fase reversa ou normal, temos a classificação do fator força peso do solvente (S) para definir a escolha do solvente sem relação a nossa necessidade de “força” necessária em uma dada separação. A Tabela a seguir fornece a polaridade do solvente em relação à cromatografia de partição em fase reversa e normal.

Observando o valor de força peso, verificamos que é possível trabalhar com uma porcentagem maior de metanol do que de acetonitrila, para obter a mesma força cromatográfica e uma porcentagem menor de THF para obter essa força (considerando uma fase móvel com mistura binária solvente/água).

Nomograma comparando a proporção necessária para obter aproximadamente a mesma força considerando acetonitrila, metanol e tetrahidrofurano (THF).
O Nomograma acima mostra as % em volume de solvente tendo a mesma força eluente. Uma linha vertical intercepta cada linha de solvente no mesmo valor de força eluente.
A retenção de um componente é controlada pela força do solvente. Solventes fortes diminuem a retenção e solventes fracos aumentam a retenção.
A força cromatográfica da FM adequada para uma separação é selecionada através da análise do fator de retenção, k.
Um valor de k baixo significa pouca interação dos solutos com a fase estacionária. Por outro lado, um valor de k elevado implica forte interação entre o soluto e a FE. Nenhum extremo é recomendado, seja por fornecerem separações pouco eficientes seja por implicar em tempos de análises longos, com alargamento dos picos. O intervalo ideal do fator de retenção é 1 ≤ k ≤ 10; entretanto, para análises de múltiplos componentes, também se aceita 0,5 ≤ k ≤ 20.
A força cromatográfica ótima para uma separação é, em geral, selecionada empiricamente por tentativa e erro, como exemplificado abaixo. Porém, atualmente, muitos empregam o QbD para uma abordagem mais sistemática de otimização de FM e método cromatográfico.
Em geral, inicia-se a separação da amostra usando-se uma fase móvel de força cromatográfica elevada, de modo que todos os componentes eluam com tempo de retenção semelhante ao de um composto não retido, tM (t0).
A seguir, sucessivamente, vai-se diminuindo a força cromatográfica da FM até conseguir que o valor de k de todos os componentes esteja compreendido no intervalo ideal.
Exemplos:




Quando nenhuma possibilidade de ajuste de solventes de fase móvel, considerando eluição isocrática, funciona para obter a resolução ideal entre todos os picos, torna-se necessário considerar o uso do gradiente se entre os compostos existem os de baixa afinidade pela fase estacionária e também outros de grande afinidade pela fase estacionária. Além disso, por vezes, a mudança de seletividade da coluna poderá ser a saída mais adequada.
Dúvidas ou comentários? Escrevamos!
Participem de nossos cursos de cromatografia e acompanhem nosso conteúdo nas redes sociais.
Abraços!
Dra. Glaucia Maria F. Pinto

Perfeito!! Lembrei de tudo o que vi no curso 🙂
Shooow de aula. Parabéns